When ranking the reliability of two groups by comparing survival data, uncertainty arising from finite sample sizes and data censoring can lead to incorrect conclusions. In this note, we use numerical simulations to quantify how these factors influence the probability of “incorrect ranking”—specifically, finding a difference when none exists (Type I error). Our findings demonstrate that statistical significance tests, such as the log-rank test, reliably control this probability regardless of sample size or censoring levels.

Simulation Framework

To investigate these effects, we simulate two groups of time-to-failure data randomly drawn from the exact same underlying distribution. Since the groups are identical, any observed difference is purely due to stochastic noise.

Weibull Distribution

We assume that the time-to-failure follows a Weibull distribution. The probability density function (PDF) with scale parameter $\alpha$ and the shape parameter $\beta$ is defined as:

\[f(t; \alpha, \beta)=\frac{\beta e^{-\left(\frac{t}{\alpha }\right)^{\beta }} \left(\frac{t}{\alpha }\right)^{\beta -1}}{\alpha }. \notag\]

The complimentary cummulative distribution function (CCDF), or survival function, is

\[\text{CCDF}(t) = e^{-\left(\frac{t}{\alpha}\right)^\beta}. \notag\]

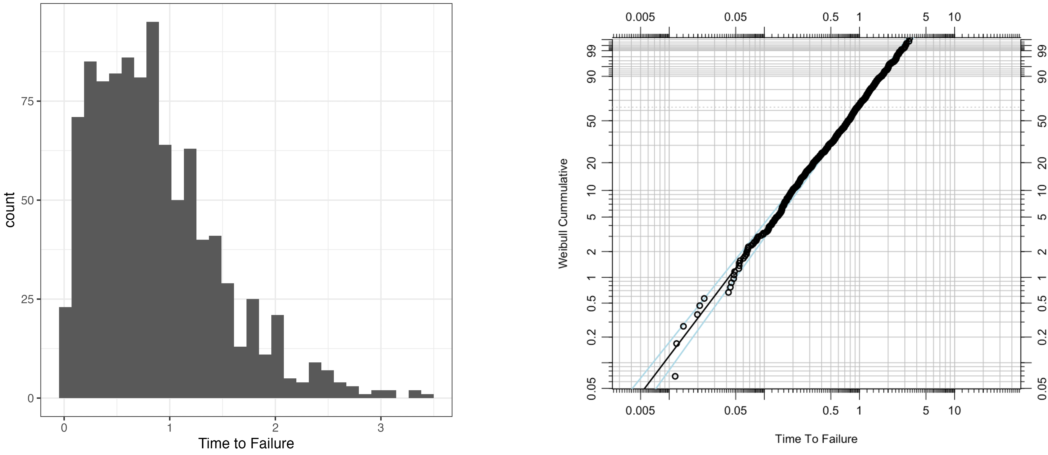
Figure 1 illustrates $1000$ samples drawn from a Weibull distribution with $\alpha=1$ and $\beta = 1.5$.

Figure 1. Distribution of 1000 random samples from a Weibull distribution (α=1, β=1.5). Left: Histogram of time-to-failure data. Right: Weibull probability plot. The horizontal axis represents log(t), while the vertical axis represents log(-log(CCDF)), labeled as the failure probability (1 - CCDF). The CCDF is calculated via the Kaplan-Meier estimator.

Comparison of Two Groups: Survival Curves

We generate 1000 pairs of samples (size $n=50$) from the same distribution. Even with identical parameters, sampling variation creates apparent differences in survival curves.

library(tidyverse)
library(survival)
library(ggsurvfit)

set.seed(1234)
ss <- 50 #sample size
nboot <- 1000 #number of bootstraps
beta <- 1.5 # weibull shape
scale <- 1 # weibull scale

data <- 
data.frame(time_to_event = rweibull(n = 2*ss*nboot, shape = beta, scale = scale),
                        status =1) |>
    mutate(bootsample = (row_number() -1 ) %/% (2*ss),
           group = row_number() %% 2)

As whon in Figure 2, some iterations show significant visual divergence. The p-value from the log-rank test is used to determine if these observed differences are statistically significant.

Figure 2. Comparison of simulated survival curves for identical populations. Each panel displays Kaplan-Meier survival curves for two groups (n=50 per group) independently sampled from the same Weibull distribution (α=1, β=1.5). The p-value indicated above each plot is derived from a log-rank test, illustrating how sampling variation can produce apparent differences even when the underlying distributions are identical.

The Effect of Sample Size

We can quantify the apparent difference between groups using the hazard ratio (HR) from a Cox Proportional Hazards model and the p-value of the log-rank test. We simulated various sample sizes ($n=10,50,100,500$) to observe the distribution of hazard ratio and p-values.

library(tidyverse)
library(survival)

# --- Simulation Function ---
run_hr_sim <- function(ss, nboot = 1000, beta = 1.5, scale = 1) {
  # ss: sample size
  # nboot: number of bootstraps
  # beta: shape of Weibull distribution
  # scale: scale of Weibull distrbution
  set.seed(1234)
  
  # Total observations needed
  n_total <- 2 * ss * nboot
  
  # Generate data efficiently
  data_sim <- data.frame(
    t_fail   = rweibull(n_total, shape = shape, scale = scale),
    t_censor = 10^7, # Effectively no censoring
    bootsample = rep(1:nboot, each = 2 * ss),
    group      = rep(c(0, 1), times = ss * nboot)
  ) |>
    mutate(
      time   = pmin(t_fail, t_censor),
      status = as.numeric(t_fail < t_censor) # true event or censored
    )

  # Harzard ratio and log-rank test p-value for each bootstrap sample
  data_sim |>
    group_by(bootsample) |>
    group_modify(~ {
      # Fit models
      fit_cox  <- coxph(Surv(time, status) ~ group, data = .x)
      fit_diff <- survdiff(Surv(time, status) ~ group, data = .x)
      
      # Extract stats
      hr_val <- exp(coef(fit_cox))
      tibble(
        # Standardizing HR to be >= 1 for variation analysis
        hr   = if_else(hr_val > 1, hr_val, 1 / hr_val),
        pval = fit_diff$pvalue,
        ss   = ss
      )
    }) |>
    ungroup()
}

# --- Execution ---
sample_sizes <- c(10, 50, 100, 500)
                  
hr_results <- map_dfr(sample_sizes, run_hr_sim)
  • Hazard ratio (Figure 3): Smaller sample sizes lead to much larger variations in the estimated hazard ratio. With $n=10$, a high hazard ratio may appear purely by chance.
  • P-value (Figure 4): Interestingly, the distribution of p-value remains uniform (a 1:1 diagonal line on the CDF) regardless of sample size.

This confirms that the log-rank test consistently controls the false positive rate. If we set $\alpha=0.05$, we will incorrectly conclude the groups are different only $5\%$ of the time, whether $n$ is $10$ or $500$.

Figure 3. Distribution of Cox Proportional Hazard Ratios for different sample sizes. The CDF shows the variability of the hazard ratio when two groups are drawn from the same population. Smaller sample sizes result in higher variance and a greater probability of observing extreme values.
Figure 4. CDF of log-rank test p-values across various sample sizes. The linear, diagonal trend (45-degree line) indicates that under the null hypothesis, p-values are uniformly distributed regardless of sample size. This confirms that the log-rank test maintains a consistent false positive rate, allowing for reliable error control even with small datasets.

The Effect of Censoring

Censoring occurs when a faikure is not observed within the study periosd. We simulated this by applying a cut-off threshold to the lifetime data.

  • Hazard ratio (Figure 5): Increased censoring increases the variance of the hazard ratio.

  • P-value (Figure 6): The p-value distribution remains robust and insenitive to the censoring proportion.

Figure 5. CDF of the hazard ratio across various censoring proportions. The plot shows that as the percentage of censored data increases, the variance of the estimated Hazard Ratio grows. This illustrates that heavy censoring reduces the precision of reliability estimates, leading to a higher probability of observing extreme, non-representative hazard ratios.
Figure 6. CDF of log-rank p-values across various censoring proportions. The overlapping diagonal lines demonstrate that the p-value distribution remains uniformly distributed regardless of the degree of censoring. This indicates that the log-rank test is a robust metric for controlling false positive rates, even when a significant portion of the lifetime data is unknown.

Conclusion

Uncertainty in reliability comaprisons stems from finite sampling and data censoring. This study higlights two distinct behaviors:

  • The hazard ratio is highly sensitive. heavy censoring can produce misleadingly larger hazard ratio values.
  • The log-rank p-value is remarkably robust, Its distribution remains uniform under the null hypothesis, ensuring that the false positive rate is controlled by rhechosen significnace threshold.

This result shows that while hazard ratio is noisy in small trials, the log-rank test remains a reliable metric for statistical validity.